Страница 1 из 3 123 Последняя
Показано с 1 по 20 из 41

Тема: Форсирование динамика последовательным фильтром!

  1. #1
    Частый гость
    Автор темы

    Регистрация
    14.11.2013
    Адрес
    Киев
    Сообщений
    448

    По умолчанию Форсирование динамика последовательным фильтром!

    Есть два испытуемых!
    1) Один сч динамик имеет резкий горб на частоте 5 кгц
    2) Второй динамик желательно резать 3-им порядком, и ему нельзя играть очень низко, так как лента.
    Наткнулся на статью
    http://ldsound.ru/posledovatelnyj-kr...vspomnit-vsyo/
    А именно на раздел
    Есть такая греческая буква, называется «зета», пишется вот так: . Мощная буква, с её помощью можно сделать немыслимое: пользуясь всё тем же арсеналом частотно-зависимых элементов (одна индуктивность и одна ёмкость) строить кроссоверы с очень разными характеристиками. Для этого чудную букву мы вставим в уже приводившиеся формулы. Вот так:
    L = ζ ∙ Rн/(2П ∙ Fo) С = 1/ζ(2П ∙ Fo ∙ Rн)

    При> 1 индуктивность будет больше расчётной, частота среза ФНЧ снизится, частота среза ФВЧ при уменьшенной (по формуле) ёмкости, наоборот, повысится. Формы АЧХ фильтров (рис. 11) останутся неизменными, а на суммарной АЧХ появится вполне ожидаемая «яма». При< 1 всё наоборот, кривые ФНЧ и ФВЧ сблизятся, на сумме — горб на частоте раздела


    Нажмите на изображение для увеличения. 

Название:	tr_ris12.jpg 
Просмотров:	537 
Размер:	36.5 Кб 
ID:	224079

    Может таким образом получится "зафорсировать" так, чтобы на вч звено после нужной частоты отдавалось больше ( уменьшить влияние сч динамика на 5 кГц, и естественно вторым порядком), при этом чтобы он низко не копал
    Я так понимаю ζ = 0,5 как раз то, что надо?
    UPD.
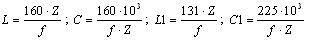
    Добавлю формулы, для первого и второго порядка
    Нажмите на изображение для увеличения. 

Название:	01.jpg 
Просмотров:	755 
Размер:	40.3 Кб 
ID:	224099Нажмите на изображение для увеличения. 

Название:	02.jpg 
Просмотров:	678 
Размер:	4.2 Кб 
ID:	224100

    UPD02.Нашел еще
    Пойдем далее, и уделим несколько слов, так называемому, последовательному кроссоверу «квазивторого порядка». Почему – «квази»? Да дело в том, что формально это тот же последовательный кроссовер первого порядка показанный на Рис. 1, однако, номиналы составляющих его элементов подбираются таким образом, что мы имеем фактический спад вне полос пропускания круче, чем стандартные для фильтров первого порядка 6дБ/октаву.
    Введем такой параметр, как Zeta, который будет характеризовать разнесение частот раздела драйверов. В стандартном случае (формулы (2) и (3)) Zeta=1, что соответствует «классическому» случаю, когда реактивные сопротивления емкости и индуктивности на частоте раздела F0 равны сопротивлению нагрузки и спад полезного сигнала для обоих излучателей на этой частоте составляет 3 дБ. В этом случае, сопротивление кроссовера, которое «видит» усилитель на частоте раздела не изменяется и равняется сопротивлению головок Rн.
    В случае «квазивторого» порядка, компоненты для последовательного фильтра находятся, как:
    CQ2=C/Zeta (4)
    LQ2= L*Zeta (5)
    При Zeta=0.707, сопротивления емкости и индуктивности шунтирующих драйверы на прежней частоте раздела F0 синхронно снижаются и усилитель «видит» пониженное в 0.707 раз сопротивление. Однако, в силу «самобалансирующейся» природы последовательных кроссоверов фактическая частота раздела остается неизменной. Сумма напряжений выделяемых на наших драйверах будет, по прежнему, тождественно равна напряжению на выходе усилителя, а фактический спад АЧХ вне полосы прозрачности в этом случае достигает крутизны 9 дБ/октаву! При параметре Zeta=0.5, последовательный кроссовер еще глубже входит в зону резонанса последовательного контура, о котором упоминалось выше. Спад АЧХ достигает 12 дБ/октаву, что соответствует формально кроссоверу второго порядка, а сопротивление «видимое» усилителем снижается до половины Rн. К такому случаю следует отнестись крайне осторожно, при использовании не очень устойчивого усилителя, последний может войти в режим возбуждения!
    При Zeta>1, мы перекрываем частоты раздела наших драйверов, сопротивление «видимое» усилителем становится выше Rн, а крутизна спада становится менее 6 дБ/октаву, что на практике фактически неприменимо. Однако, и в этом случае, результирующая суммарная АЧХ останется «гладкой».
    Если бы мы попытались проделать подобный «трюк» с разнесением частоты раздела с «обычным» параллельным кроссовером, то на частоте раздела появился бы провал в суммарной АЧХ, а при перекрытии частот – пик.
    http://scvosniak.io.ua/s19271/posledovatelnye_filtra

    Последний раз редактировалось berkovsky; 06.12.2014 в 13:01.

  2. #2
    Частый гость
    Регистрация
    06.05.2005
    Адрес
    Омск
    Возраст
    42
    Сообщений
    491

    По умолчанию Re: Форсирование динамика последовательным фильтром!

    Если бы вы хоть раз измерили АЧХ каждого динамика в корпусе, их импеданс, загнали бы результаты в лспкад или подобное, то вы бы не читали этот бред.

  3. #3
    Частый гость
    Автор темы

    Регистрация
    14.11.2013
    Адрес
    Киев
    Сообщений
    448

    По умолчанию Re: Форсирование динамика последовательным фильтром!

    А на чём основан диагноз о прочитанном?

  4. #4
    Завсегдатай
    Регистрация
    02.09.2009
    Адрес
    Вашингтон Д.С.
    Возраст
    42
    Сообщений
    1,033

    По умолчанию Re: Форсирование динамика последовательным фильтром!

    Почитайте книжки Батя. Если еще не читали.

  5. #5
    Старый знакомый Аватар для SemenS
    Регистрация
    26.12.2011
    Адрес
    город у моря
    Сообщений
    743

    По умолчанию Re: Форсирование динамика последовательным фильтром!

    Цитата Сообщение от berkovsky Посмотреть сообщение
    так как лента.
    С лентой последовательный фильтр не очень хорош. Дело в том что индуктивность ВЧ динамика (ленты) почти на порядок меньше расчётной катушки фильтра шунтирующей ВЧ динамик. Думаю не трудно догадаться куда пойдёт ток. Вот хороший пример АС с послед. фильтром хотя на ВЧ там совсем не лента http://yasnyi-sokol.narod.ru/JBL3Way/JBL3way.htm

  6. #6
    Завсегдатай Аватар для Михаил45
    Регистрация
    09.03.2007
    Адрес
    Санкт-Петербург
    Возраст
    64
    Сообщений
    2,168

    По умолчанию Re: Форсирование динамика последовательным фильтром!

    Цитата Сообщение от SemenS Посмотреть сообщение
    С лентой последовательный фильтр не очень хорош. Дело в том что индуктивность ВЧ динамика (ленты) почти на порядок меньше расчётной катушки фильтра шунтирующей ВЧ динамик. Думаю не трудно догадаться куда пойдёт ток. Вот хороший пример АС с послед. фильтром хотя на ВЧ там совсем не лента http://yasnyi-sokol.narod.ru/JBL3Way/JBL3way.htm
    Ток на ВЧ идет через конденсатор.

  7. #7
    Завсегдатай Аватар для mAxSpace
    Регистрация
    19.05.2008
    Адрес
    Москва
    Сообщений
    19,009

    По умолчанию Re: Форсирование динамика последовательным фильтром!

    Ох уж это теория.
    Измерять и загонять результаты в симулятор, к чёрту все формулы.

  8. #8
    Частый гость Аватар для Андрей Никитин
    Регистрация
    24.08.2009
    Адрес
    Россия, г. Воронеж
    Возраст
    55
    Сообщений
    302

    По умолчанию Re: Форсирование динамика последовательным фильтром!

    Цитата Сообщение от mAxSpace Посмотреть сообщение
    ...загонять в симулятор, к чёрту все формулы...
    - А симуляторы на основе чего сделаны?.. ...На основе теории и формул...

  9. #9
    Завсегдатай Аватар для mAxSpace
    Регистрация
    19.05.2008
    Адрес
    Москва
    Сообщений
    19,009

    По умолчанию Re: Форсирование динамика последовательным фильтром!

    Конечно. На по пормулам посчитать 90 точек на октаву я думаю мало кому захочется. Я вот о чём.

  10. #10
    Частый гость
    Автор темы

    Регистрация
    14.11.2013
    Адрес
    Киев
    Сообщений
    448

    По умолчанию Re: Форсирование динамика последовательным фильтром!

    Симулятор такой фильтр поймёт?
    Какой посоветуете, с ручным вводом параметров?

  11. #11
    Завсегдатай
    Регистрация
    28.12.2012
    Адрес
    Москва
    Сообщений
    4,089

    По умолчанию Re: Форсирование динамика последовательным фильтром!

    Цитата Сообщение от berkovsky Посмотреть сообщение
    Симулятор такой фильтр поймёт?
    да. и последовательные и параллельные.
    6-я версия LSPCAD - позволяет соединять динамики и фильтры в любом порядке, как и совершенно любые детали в MicroCap и других спайс симуляторах

  12. #12
    Завсегдатай Аватар для mAxSpace
    Регистрация
    19.05.2008
    Адрес
    Москва
    Сообщений
    19,009

    По умолчанию Re: Форсирование динамика последовательным фильтром!

    В LoudSpeakerLab последовательные фильтры симулируются, ручной ввод есть.

  13. #13
    Частый гость
    Регистрация
    11.01.2011
    Сообщений
    261

    По умолчанию Re: Форсирование динамика последовательным фильтром!

    Цитата Сообщение от berkovsky Посмотреть сообщение
    ...Может таким образом получится "зафорсировать" так, чтобы на вч звено после нужной частоты отдавалось больше ( уменьшить влияние сч динамика на 5 кГц, и естественно вторым порядком), при этом чтобы он низко не копал
    Я так понимаю ζ = 0,5 как раз то, что надо?
    Вы приводите цитаты из статьи: "При> 1 индуктивность будет..." и тд., про реакцию параллельного кроссовера, а картинку даете для последовательного. Вы уж определитесь - какой кроссовер вы хотите строить.

    Я вам писал уже, что для последовательного 1-го (электрического) порядка симулятор не обязателен, если вы используете правильные формулы, передаточная функция будет еденичной.

    Зета, меньше еденицы, действительно даст более крутой срез, но в тоже время получим и резонансные горбы, которые в теории скомпенсируются, но в реале дадут звон во временной области.

    И еще, все сказанное выше относится, только к "классическому" последовательному первого порядка, т.е. 1 катушка и 1 емкость (для двух полос), введение любых других элементов (кроме последовательного резистора, гасящего "излишнюю" чувствительность), поменяет все и потребует использования симулятора.

  14. #14
    Частый гость
    Автор темы

    Регистрация
    14.11.2013
    Адрес
    Киев
    Сообщений
    448

    По умолчанию Re: Форсирование динамика последовательным фильтром!

    Немного изучил LSPCAD, большое спасибо за советы. Тему я так понимаю можно закрывать.

  15. #15
    Частый гость
    Автор темы

    Регистрация
    14.11.2013
    Адрес
    Киев
    Сообщений
    448

    По умолчанию Re: Форсирование динамика последовательным фильтром!

    Тут такая идея возникла!
    Беру двухполоску, добавляю басовую секцию и делаю последовательный фильтр не меняя фильтр в основных АС.
    Как Вам такая идея?

  16. #16
    Завсегдатай Аватар для DIM
    Регистрация
    14.05.2005
    Адрес
    Санкт Петербург
    Возраст
    54
    Сообщений
    2,969

    По умолчанию Re: Форсирование динамика последовательным фильтром!

    Series crossover Забиваете в гугл и смотрите картинки)
    С уважением, Дмитрий Чуманов.

  17. #17
    Завсегдатай

    Регистрация
    11.11.2007
    Адрес
    Петербург-Петроград-Ленинград-Петербург
    Сообщений
    4,473

    По умолчанию Re: Форсирование динамика последовательным фильтром!

    А мне не нравится, что один динамик модулирует соседу сигнал в последовательной цепи. Интересно, это симулятор покажет? На натуре оно очень хорошо заметно, поэтому, никогда...

  18. #18
    Завсегдатай Аватар для mAxSpace
    Регистрация
    19.05.2008
    Адрес
    Москва
    Сообщений
    19,009

    По умолчанию Re: Форсирование динамика последовательным фильтром!

    Цитата Сообщение от berkovsky Посмотреть сообщение
    Тут такая идея возникла!
    Беру двухполоску, добавляю басовую секцию и делаю последовательный фильтр не меняя фильтр в основных АС.
    Как Вам такая идея?
    Вполне. Кривую импеданса только снимите.

  19. #19
    Завсегдатай Аватар для DIM
    Регистрация
    14.05.2005
    Адрес
    Санкт Петербург
    Возраст
    54
    Сообщений
    2,969

    По умолчанию Re: Форсирование динамика последовательным фильтром!

    Такие решения давно известны. И много раз просчитаны.
    С уважением, Дмитрий Чуманов.

  20. #20
    Завсегдатай Аватар для meshin
    Регистрация
    18.10.2007
    Адрес
    Новокузнецк
    Сообщений
    1,944

    По умолчанию Re: Форсирование динамика последовательным фильтром!

    Цитата Сообщение от berkovsky Посмотреть сообщение
    Я так понимаю ζ = 0,5 как раз то, что надо?
    Только не нужно забывать, что и сопротивление АС в этом случае станет во столько же раз меньше. Достаточно использовать "эту буковку" ζ = 0,7. Элементы, последовательно включенные с нагрузкой, не нужны.

Страница 1 из 3 123 Последняя

Социальные закладки

Социальные закладки

Ваши права

  • Вы не можете создавать новые темы
  • Вы не можете отвечать в темах
  • Вы не можете прикреплять вложения
  • Вы не можете редактировать свои сообщения
  •