Страница 2 из 4 Первая 1234 Последняя
Показано с 21 по 40 из 78

Тема: Какое издание Dire Straits лучше?

  1. #1 Показать/скрыть первое сообщение.
    Завсегдатай
    Автор темы
    Аватар для Serge_L
    Регистрация
    12.09.2008
    Адрес
    Калуга
    Возраст
    50
    Сообщений
    3,191

    По умолчанию Какое издание Dire Straits лучше?

    Вот у меня возник вопрос: какое из изданий лучше? Кто имел возможность сравнить?
    Лично я сравнивал Vertigo "тех лет" и ремастированный вариант с SBM (Super Bit Mapping).
    Это просто джиттер какой-то! (с) momitko

  2. #21
    Завсегдатай
    Автор темы
    Аватар для Serge_L
    Регистрация
    12.09.2008
    Адрес
    Калуга
    Возраст
    50
    Сообщений
    3,191

    По умолчанию Re: Какое издание Dire Straits лучше?

    Audiomaniac, Илья! В-общем, немного конкретезирую: у меня сейчас есть весь DS на переиздании с SBM. Хочу сравнить другие Чувствую, придётся перебирать все варианты, благо их не так и много...
    Это просто джиттер какой-то! (с) momitko

  3. #22
    Аудиоманьяк Аватар для Audiomaniac
    Регистрация
    13.08.2006
    Адрес
    Омск
    Сообщений
    6,497

    По умолчанию Re: Какое издание Dire Straits лучше?

    Кроме XRCD Brothers in Arms и SBM, других ремастеров номерных альбомов DS по-моему и не существует.
    Хорошо играет тогда, когда звуки не отвлекают от музыки.

  4. #23
    Старый знакомый Аватар для Johny
    Регистрация
    25.02.2007
    Адрес
    Ярославль
    Сообщений
    938

    По умолчанию Re: Какое издание Dire Straits лучше?

    Пож-та, подскажите ссылку на SBM-ремастеры.
    Спасибо.
    Best regards, Johny.

  5. #24
    Завсегдатай
    Автор темы
    Аватар для Serge_L
    Регистрация
    12.09.2008
    Адрес
    Калуга
    Возраст
    50
    Сообщений
    3,191

    По умолчанию Re: Какое издание Dire Straits лучше?

    Johny, могу вечером срисовать с дисков номера. Либо залить Вам при необходимости куда-либо iso образы с них.
    Audiomaniac, Илья, а не ремастеры ты какие слыхал?
    Это просто джиттер какой-то! (с) momitko

  6. #25
    Старый знакомый Аватар для Johny
    Регистрация
    25.02.2007
    Адрес
    Ярославль
    Сообщений
    938

    Улыбка Re: Какое издание Dire Straits лучше?

    Цитата Сообщение от Serge_L Посмотреть сообщение
    Johny, могу вечером срисовать с дисков номера.
    Спасибо огромное!
    Если можно, к номерам еще и названия, и кто выпустил.
    Best regards, Johny.

  7. #26
    Аудиоманьяк Аватар для Audiomaniac
    Регистрация
    13.08.2006
    Адрес
    Омск
    Сообщений
    6,497

    По умолчанию Re: Какое издание Dire Straits лучше?

    Цитата Сообщение от Johny Посмотреть сообщение
    Пож-та, подскажите ссылку на SBM-ремастеры.
    Неожиданный вопрос.. я уже писал в этой ветке ссылку

    Цитата Сообщение от Serge_L Посмотреть сообщение
    Илья, а не ремастеры ты какие слыхал?
    Вот эти, исходные:
    http://rutracker.org/forum/viewtopic.php?t=2863525
    Хорошо играет тогда, когда звуки не отвлекают от музыки.

  8. #27
    Новичок
    Регистрация
    21.10.2010
    Адрес
    Рязань
    Сообщений
    36

    По умолчанию Re: Какое издание Dire Straits лучше?

    Цитата Сообщение от Serge_L Посмотреть сообщение
    Вот у меня возник вопрос: какое из изданий лучше? Кто имел возможность сравнить?
    Лично я сравнивал Vertigo "тех лет" и ремастированный вариант с SBM (Super Bit Mapping).

    Offтопик:
    Свои пять копеек. Соглашусь, что многое зависит от возможностей имеющейся системы. Но, наверное и от предпочтений ее владельца. JVC XRCD2 2000 Brothers in Arms до конца так ни разу и не прослушал. Прозрачность, разрешение - да. Но как то сухо. Больше по душе издания типа http://rutracker.org/forum/viewtopic.php?t=3907049. Из ремастеров, Mercury 1996 тоже неплохо звучали. Но сейчас слушаю SACD. Там практически все устраивает.

  9. #28
    Завсегдатай Аватар для JazMan
    Регистрация
    15.02.2011
    Сообщений
    1,880

    По умолчанию Re: Какое издание Dire Straits лучше?

    DS (SBM) действительно хорошо звучит.
    Но ремастеры не люблю (только если оригинал не нравится), особенно японские.

  10. #29
    Старый знакомый Аватар для Johny
    Регистрация
    25.02.2007
    Адрес
    Ярославль
    Сообщений
    938

    Улыбка Re: Какое издание Dire Straits лучше?

    Цитата Сообщение от mae62 Посмотреть сообщение
    SACD. Там ... все устраивает

    Вполне!
    Best regards, Johny.

  11. #30
    Новичок! Аватар для Ламер со стажем
    Регистрация
    06.09.2004
    Адрес
    Москва
    Возраст
    43
    Сообщений
    3,248

    По умолчанию Re: Какое издание Dire Straits лучше?

    А чем вас первопрессы DS не устраивают?

  12. #31
    Завсегдатай
    Автор темы
    Аватар для Serge_L
    Регистрация
    12.09.2008
    Адрес
    Калуга
    Возраст
    50
    Сообщений
    3,191

    По умолчанию Re: Какое издание Dire Straits лучше?

    Ламер со стажем, там первопрессы были минимум на двух лейблах. Вот и хочу купить... Только что?
    Это просто джиттер какой-то! (с) momitko

  13. #32
    Старый знакомый Аватар для Johny
    Регистрация
    25.02.2007
    Адрес
    Ярославль
    Сообщений
    938

    По умолчанию Re: Какое издание Dire Straits лучше?

    Цитата Сообщение от Ламер со стажем Посмотреть сообщение
    первопрессы DS
    Что это?

    ---------- Добавлено в 20:41 ---------- Предыдущее сообщение в 20:40 ----------

    Цитата Сообщение от Audiomaniac Посмотреть сообщение
    Неожиданный вопрос..
    Именно, SBM-ремастеры, не XRCD!
    Best regards, Johny.

  14. #33
    Аудиоманьяк Аватар для Audiomaniac
    Регистрация
    13.08.2006
    Адрес
    Омск
    Сообщений
    6,497

    По умолчанию Re: Какое издание Dire Straits лучше?

    Цитата Сообщение от Johny Посмотреть сообщение
    Именно, SBM-ремастеры
    Ну, на них я ссылку и давал.
    Хорошо играет тогда, когда звуки не отвлекают от музыки.

  15. #34
    Старый знакомый Аватар для Johny
    Регистрация
    25.02.2007
    Адрес
    Ярославль
    Сообщений
    938

    Улыбка Re: Какое издание Dire Straits лучше?

    Конечно, извини, был невнимателен. Не рассмотрел значок SBM.
    Спасибо.
    Best regards, Johny.

  16. #35
    Завсегдатай
    Регистрация
    02.09.2009
    Адрес
    Вашингтон Д.С.
    Возраст
    42
    Сообщений
    1,033

    По умолчанию Re: Какое издание Dire Straits лучше?

    Товарищи, а не подскажите как можно определить, что это SBM если ты не скачиваешь, а покупаешь СД . Где это пишут?

  17. #36
    Завсегдатай
    Автор темы
    Аватар для Serge_L
    Регистрация
    12.09.2008
    Адрес
    Калуга
    Возраст
    50
    Сообщений
    3,191

    По умолчанию Re: Какое издание Dire Straits лучше?

    mr_RBG, Костя, у меня прямо на коробочках сзади большими буквами...
    Это просто джиттер какой-то! (с) momitko

  18. #37
    Завсегдатай Аватар для tomtit
    Регистрация
    23.06.2009
    Адрес
    пгт.Торонтовка
    Возраст
    67
    Сообщений
    1,045

    По умолчанию Re: Какое издание Dire Straits лучше?


    Offтопик:
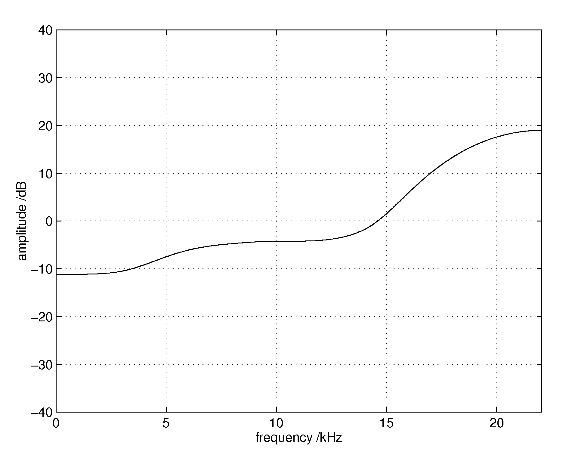
    Странно, но мне СБМ не нравится.
    СБМ - это весьма агрессивный нойз шэйпинг, позволяющий достичь примерно 20 разрядного разрешения на низких частотах при физических 16р-44.1К,
    за счет очень сильного ухудшения СНР на частотах выше 15К. Почему-то меня звучание СВМ немного раздражает.
    Возможно происходит подчеркивание артефактов интерполирующего фильтра ДАК.
    При наличии Хай-рез версии (SACD или DVDA) нет никакого смысла слушать СВМ СД.
    Миниатюры Миниатюры Нажмите на изображение для увеличения. 

Название:	sbm.png 
Просмотров:	228 
Размер:	6.3 Кб 
ID:	172978  
    Последний раз редактировалось tomtit; 02.01.2013 в 22:01.

  19. #38
    Старый знакомый Аватар для Johny
    Регистрация
    25.02.2007
    Адрес
    Ярославль
    Сообщений
    938

    Улыбка Re: Какое издание Dire Straits лучше?

    Цитата Сообщение от tomtit Посмотреть сообщение
    Возможно происходит подчеркивание артефактов интерполирующего фильтра ДАК.
    Возможно, "...в консерватории нужно что-то поправить..."!
    Best regards, Johny.

  20. #39
    Завсегдатай
    Регистрация
    18.07.2005
    Сообщений
    4,004

    По умолчанию Re: Какое издание Dire Straits лучше?

    Цитата Сообщение от tomtit Посмотреть сообщение
    Offтопик:
    Странно, но мне СБМ не нравится.
    СБМ - это весьма агрессивный нойз шэйпинг, позволяющий достичь примерно 20 разрядного разрешения на низких частотах при физических 16р-44.1К,
    за счет очень сильного ухудшения СНР на частотах выше 15К. Почему-то меня звучание СВМ немного раздражает.
    Вообще-то у SBM в отношении именно шума 20 битами как раз "и не пахнет". Шум паузы в SBM по МЭК-А при отсечении ВЧ около -105...108 дБА, причем понижение спектральной плотности шума на частотах 3...6 кГц, ЕМНИС, составляло всего ~6...8 дБ по сравнению с классическим 0.5 LSB RPDF дитерингом.
    Цитата Сообщение от tomtit Посмотреть сообщение
    Offтопик:
    Возможно происходит подчеркивание артефактов интерполирующего фильтра ДАК.
    При наличии Хай-рез версии (SACD или DVDA) нет никакого смысла слушать СВМ СД.
    Да, ВЧ шум в SBM выражен довольно сильно, поэтому на нормальной и тем более большой громкости он, хотя и не слышен явно, но может утомлять, если фактически получающаяся для шумового сигнала АЧХ акустики в точке прослушивания не "завалена" на ВЧ, как это часто бывает.
    Последний раз редактировалось sia_2; 05.01.2013 в 20:30.

  21. #40
    Новичок! Аватар для Ламер со стажем
    Регистрация
    06.09.2004
    Адрес
    Москва
    Возраст
    43
    Сообщений
    3,248

    По умолчанию Re: Какое издание Dire Straits лучше?

    О самой технологии Super Bit Mapping - http://rus.625-net.ru/archive/z0399/sbm.htm

    SBM впервые появляется на первом европейском ремастере DS от Mercury, в 1996-ом году
    Этот же мастеринг, затем, появляется как издание Warner для штатов в 2000
    И он же является тем, что джапы выпустили как SHM-CD в 2008 (за исключением издания UICY-90770 альбома 1978 года)

    Если говорить про формат CD, то лично мне больше по нраву как звучат первопрессы:
    это японцы (Target CD) для штатов (Warner) и кое-что из европейцев (Vertigo)


    Из занятного:

    Brothers In Arms является одним из первых, действительно массовых CD альбомов, сделанных полностью в цифре на всех этапах, т.е. "DDD".

    Несмотря на DDD, не утихают споры и многие считают, что издание Brothers In Arms (Germany for US, matrix [] 824 499-2 07 #) предположительно, записано с pre-emphasis, но флаг поставлен не был.

    На одном из ранних изданий на CD (и соответственно, в кое-каких, последующих переизданиях) Brothers In Arms, произошёл казус - по запарке перепутали каналы местами. В оригинале, во вступлении So Far Away тарелка должна играть слева.
    Последний раз редактировалось Ламер со стажем; 03.01.2013 в 17:32.

Страница 2 из 4 Первая 1234 Последняя

Социальные закладки

Социальные закладки

Ваши права

  • Вы не можете создавать новые темы
  • Вы не можете отвечать в темах
  • Вы не можете прикреплять вложения
  • Вы не можете редактировать свои сообщения
  •